EC Epiplan-Apochromat Mikroskop-Objektiv
Modell: Objektiv C Epiplan-Apochromat 20x/0,7 DIC M27 (a=1,3mm) Optimiert für 405 nm.
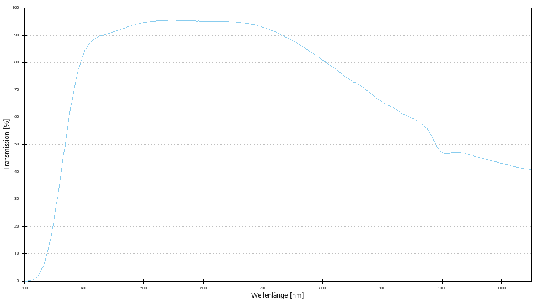
Diese apochromatisch korrigierten Auflicht-Objektive mit hohen Vergrößerungen erfüllen die höchsten Ansprüche in der Materialmikroskopie. Sie besitzen im Spektralbereich von 400 bis 700 nm eine ausreichend hohe Transmission. Wegen strenger objektseitiger Telezentrie sind sie besonders gut für Messzwecke geeignet.
- 20x Objektiv
- 20x
- Arbeitsabstand
- 1,3mm
- Auflicht-DIC
- +++++
- Hellfeld
- +
- Deckglasdicke
- 0mm
- Ebnung
- +++++
- Farbkorrektur
- +++++
- Fluoreszenz
- +
- Fluoreszenz: Multichannel
- +++
- Fluoreszenz: Ultraviolett-Transmission
- +
- Gewinde
- M27x0,75
- Immersionsmedium
- ohne Immersion
- Konfokale Mikroskopie
- +
- Konfokalmikroskopie: Ultraviolett
- +
- Konfokalmikroskopie: VIS (sichtbares Licht)
- +++++
- Numerische Apertur
- 0,7
- Optisches System
- Infinity Color Corrected System (ICS)
- Sehfeld
- 25mm
- Vergrößerung
- 20x
Dieser Artikel ist in folgenden Kategorien gelistet: